液压蓄能器选型步骤
蓄能器使系统运行更加平稳;
蓄能器使系统运行更加安全;
蓄能器使系统运行效率提高;
蓄能器使系统运行能耗降低。
上海迈奥实业发展有限公司Shangai Mayo(www.shmayo.com)可以提供Tobul, Accumulator, Fox, Saip, EPE, Hydroll, Mayo, Hydac, Parker, Olaer, BSD, Roth, Rexroth, Eaton, Hawe, NOK, Stauff等原产的知名进口蓄能器,并可提供相应同规格的国产蓄能器。
第一步:明确蓄能器的主要功能
|
1 辅助动力源 |
☆ 提供一个辅助能源,即所储存的能源能在高峰时刻应用,以便选用较小的泵。用较小的泵,也可以实现在瞬间提供大量压力油。 ☆ 平稳保持液压系统中一定的流量和压力。 ☆ 补充液体容积以保持一定的压力。 ☆ 当液压装置发生故障、停泵或停电时,作为应急的动力源,以便安全地做完一个工作循环 ,如用于船舶液压方向舵。 ☆ 较长时间地使系统维持一个必须的高压而无需开泵,以防止油料过热减少泵磨损并节约能源。 ☆ 保持系统压力:补充液压系统的漏油,或用于液压泵长时期停止运转而要保持恒压的设备上。 ☆ 驱动二次回路:机械在由于调整检修等原因而使主回路停止时,可以使用蓄能器的液压能来驱动二次回路。 ☆ 稳定压力:在闭锁回路中,由于油温升高而使液体膨胀,产生高压可使用蓄能器吸收,对容积变化而使油量减少时,也能起补偿作用。
☆ 为设备的严重磨损区提供不问断但流量不大的润滑油。 ☆ 注模铸造设备操作中用于在一个短时间内提供高压。 ☆ 机床上用于保持压力以便采用小规模的油泵。 ☆ 汽轮机上用于提供润滑油。 ☆ 油井、井口防喷器上用于作关闭闸门的备用动力。 ☆ 流体储存,紧急能源,压力补偿,渗漏补偿,热胀吸收,增加流量。 ☆ 对于间歇负荷,能减少液压泵的传动功率。当液压缸需要较多油量时,蓄能器与液压泵同时供油;当液压缸不工作时,液压泵给蓄能器充油,达到一定压力后液压泵停止运转。 ☆ 具体分析一个例子:蓄能器的重要性在高压EH油系统中,当系统的多数油动机快速开启时(比如汽轮机开始冲转,2个中压调节门同时开启,或者2900转时的阀切换,6个高调门同时开启),系统油压必然快速下降,此时油泵来不及做出反映,蓄能器在设计上位置不仅靠近油动机并且能比油泵更加迅速的向系统补充油液,避免系统油压下降到9.7MPA时造成保护动作而停机。 |
|
2 吸收脉动 |
☆ 吸收液压泵的压力脉动。 ☆ 减震,柱塞式/隔膜式泵等设备减少振动。 ☆ 噪声衰减,柱塞式/隔膜式泵等设备降低噪音。 ☆ 柱塞式/隔膜式泵等设备降低能耗。 ☆ 使柱塞式/隔膜式泵等设备输出压力更加平稳,平衡管路油压波动。 |
|
3 吸收冲击 |
☆ 吸收缓冲 突发和剧烈的冲击 造成的系统内压力巨变。 ☆ 缓和 阀在迅速关闭和变换方向时 所引起的水锤现象。 ☆ 在管道系统中减少因压力巨变而产生的振动和损失。 ☆ 吸收液体流路中的冲击振动,以减少管路,装置和仪表的损坏从而节约费用。 ☆ 液压传动中用于换向时吸收冲击。 ☆ 叉车及车载升降台等设备用于压力突变时起阻尼作用。 ☆ 航空母舰上用于吸收飞机降落时对拉索的冲击。 ☆ 涌流控制,力学平衡。 ☆ 缓和冲击的蓄能器,应选用惯性小的蓄能器,如Tobul气囊式蓄能器。一般尽可能安装在靠近发生冲击的地方,并垂直安装,油口向下。如实在受位置限制,垂直安装不可能时,再水平安装。 |
以上3个主要功能的选择,无论选择的是哪一项,蓄能器在实现该项功能的同时,也可能对另2项功能有一定程度的作用。
第二步:依据主要功能对口计算蓄能器的容积和工作压力
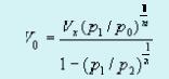
1 作辅助动力源

V0—所需蓄能器的容积(m3)
p0—充气压力Pa,按0.9p1>p0>0.25 p2充气
Vx—蓄能器的工作容积(m3)
p1—系统最低压力(Pa)
p2—系统最高压力(Pa)
n—指数;等温时取n=1;绝热时取n=1.4
2 吸收泵的脉动
A—缸的有效面积(m2)
L—柱塞行程(m)
k—与泵的类型有关的系数:
泵的类型 系数k
单缸单作用 0.60
单缸双作用 0.25
双缸单作用 0.25
双缸双作用 0.15
三缸单作用 0.13
三缸双作用 0.06
p0—充气压力,按系统工作压力的60%充气
3 吸收冲击
m—管路中液体的总质量(kg)
υ—管中流速(m/s)
p0—充气压力(Pa),按系统工作压力的90%充气
注:
1.充气压力按应用场合选用。
2.蓄能器工作循环在3min以上时,按等温条件计算,其余均按绝热条件计算。
第三步:依据计算得出工作压力查阅Tobul蓄能器相应的压力系列
蓄能器应安装在远离热源地地方。
高温环境请选用Tobul耐高温型活塞式蓄能器,或者耐高温型囊式蓄能器。
需要耐燃油耐腐蚀的,请选用Tobul耐燃油耐腐蚀型蓄能器。
流体介质为水时,请选用Tobul不锈钢壳体或有防锈镀层的蓄能器。
第四步:在相应的压力系列中寻找 与计算得出容积 最接近的型号
第五步:技术咨询与询价
您可以就选定的型号发传真进行询价,并在询价单中注明贵公司的联系人、联系电话、传真等信息,以便及时回复。
您可以就您选定的型号进行技术咨询,我们的专业人员会尽快予以详细回复的。
您也可以仅仅计算出所需的工作压力及容积,我们帮您选型及技术交流。
